|
把热力学第一定律(2•29)式两边除以dt,就得到反映温度随时间变化规律的热流量方程
 这里 分别表示单位时间内空气质点的温度和气压的变化。我们把单位时间内个别空气质点温度的变化dT/dt称作空气温度的个别变化,也就是前面讨论的空气块在运行中随时间的绝热变化和非绝热变化。因为个别空气质点在大气中不断地改变位置,所以
不容易直接观测。在实际问题中,我们更关心固定地点大气温度随时间的变化。气象站在不同时间所观测的,或是自记仪器所记录的气温变化都是某一固定地点的空气温度随时间的变化,某一固定地点空气温度随时间的变化称作空气温度的局地变化。如何理解温度的个别变化和局地变化之间的联系,例如当预报北京的温度时,发现在蒙古人民共和国地区,近地层气温为-20℃,高空为西北气流,当时北京近地层气温为0℃。作温度预报时,要考虑两个方面的作用:一是根据空气的移动,预计36h后,蒙古的冷空气将移到北京,根据这种作用,36h后,北京温度应下降20℃。这种由于空气的移动所造成的某地温度的变化称为温度的平流变化。北京和蒙古之间的温差愈大,西北风愈强,由平流作用所造成的单位时间内的降温就愈大;另一方面,还要考虑当冷空气由蒙古移到北京的过程中,空气本身温度的变化。这部分变化实质上就是温度的个别变化。例如,当冷空气南下时南部地表面温度较高,下垫面将把热量传递给冷空气,这种作用将使气温升高。据估计,空气温度的这一个别变化,将使其温度升高10℃。考虑了上述两方面因子的共同影响,就可以预报北京温度在36h后要降温10℃。也就是说北京地区温度的局地变化是平流变化和个别变化之和。
上面对温度的个别变化和局地变化之间的联系作了定性的说明,下面将对这种联系作定量分析。如图2•22所示,假定某空气质点在t时刻位于空间某点P(x,y,z)上,其温度为T(x,y,z,t),速度分量为u,v,w。经过dt时间后,该空气质点移至Q点,其坐标为Q(x+dx,y+dy,z+dz),此时质点的温度为T(x+dx,y+dy,z+dz,t+dt)。空气质点温度的变化
T(x+ dx,y+dy,z+dz,t+dt)-T(x,y,z,t)为温度的全微分dT,故有
 空气质点是由P点经dt时间移至Q点的,显然
dx=udt,dy=vdt,dz=wdt, (2•46)
将上式代入(2•45),并用dt去除式两边,则得单位时间内空气质点温度的变化


上式表示了温度的个别变化和局地变化之间的联系。(2•47)式还可改写为


V=ui+vj+wk

上式右端第一项表示温度的平流变化。(2•49)式表明温度的局地变化等于温度的平流变化和个别变化之和。如果令Vh表示水平风速, hT表示水平温度梯度,为垂直于等温线的单位距离内的温度差值,并由低温指向高温(见图2•23)。则(2•49)式可写成

这里-Vh• hT即为温度的水平平流变化,它能从天气图上加以确定,可简称为平流变化。温度平流可写成
-Vh• hT=-|Vh|•| hT|•cosa (2•51)


高,这种暖空气向冷空气方面流动的情形,称为暖平流。冷暖平流的强弱由水平温度梯度及风速在其方向上的分量所决定。
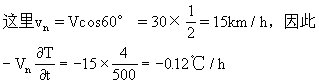
温度平流的大小,也可以直接在天气图上进行计算。如图2•24,假定风向和温度梯度的交角为60°,风速大小为30km/h,在计算-Vh•
hT时,可以把风速投影到温度梯度的方向,则有


在天气、气候分析中,常用气压代替高度,建立以气压为垂直坐标的温

化为

 在X,Y,P,T坐标中,有


w>0,w的单位为hPa/s。利用(2•52)式,方程(2•53)可写成

或:


因此,(2•55)式可改写成

式(2•56)是天气、气候中常用的热流量方程的形式。把(2•56)式写成

上式表明,温度的局地变化决定于三方面因子:即方程(2•57)右端第一项空气平流运动传热过程引起的局地气温变化;右端第二项,空气垂直

时,温度升高;右端第三项代表热流入量的影响,大气中造成热流入量的过程有辐射、湍流交换、水汽相变等。该项的作用为:热量收入使温度升高,热量支出使温度降低。
在日常分析某地点气温变化时主要就考虑这三方面的因子。在近地面范围内,垂直运动较小,由此引起的气温变化通常可忽略不计。地面和大气间的热交换是引起局地气温日变化和年变化的主要因子。冷暖气团运动引起的温度平流是气温非周期变化的主要因子。在分析高层大气温度的局地变化时,非绝热因子除有凝结现象出现时,通常起的作用比较小。
[设本页为书签]
|